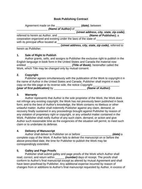
Juana McHugh Blog